濾漿中的顆粒形狀是不規則的,只能用等價球的直徑表示其尺寸.對于實際顆粒,其等價直徑可取為有等價體積的球,或有等價表面積的球,或有等價沉降速度的球的直徑.
在過濾理論研究方面,已從傳統的濾餅過濾理論發展出了壓密和壓榨等分支理論.在過濾介質方面,除濾布外,微細鋼毛燒結氈,5層燒結金屬網以及正負電位濾紙板等均得到了很大發展,并在迅速擴大應用范圍.
對于體積質量分數在0.01%~1%的懸浮液,應分兩種情況來確定過濾類型:如果質量分數接近1%,則將懸浮液先行濃縮,然后進行濾餅過濾;如果質量分數接近0.01%,則應先行沉淀澄清,然后進行澄清過濾(如粒狀層過濾).
濾餅過濾是指借助過濾介質表面上所形成的濾餅層來截留懸浮粒子,懸浮液的體積含量應在1%以上,因而濾餅過濾主要用于懸浮粒子含量較高的懸浮液過濾.
過濾可用于反滲透膜工序的預處理,鍋爐冷凝水的處理,水道的凈水處理,家庭凈水器以及人工肺.微孔過濾膜的材料為聚乙烯或陶瓷等.
以砂或活性炭等粒狀物為過濾介質層,由這些粒狀物的空隙截留住懸浮粒子(其粒徑遠小于空隙直徑),此種過濾操作稱為粒狀層過濾.
以網,布,燒結金屬,陶瓷及疊層金屬板等為過濾介質所進行的固液分離,稱為直接過濾.預敷層過濾是指在濾布(濾網)上涂敷助濾劑(硅藻土,活性炭或離子交換樹脂等粉末),形成濾餅層,然后以此餅層為過濾介質對懸浮液進行過濾.
針對除塵濾袋生產特點,按照控制程序的要求,擬制《生產過程中自檢互檢規范》和《質量獎懲規范》,通過自檢+互檢+績效激勵的方式,發動全員參與過程質量的管控,實現從質量是檢驗出來的到質量是生產出來的轉變.
沸石轉輪是利用沸石分子篩為吸附材料,分子篩可吸附過濾比空氣分子大的有機物,而空氣則可以直接通過.轉輪分為吸附區,冷卻區及脫附區,吸附區吸附廢氣中的有機物,凈化的空氣通過煙囪排放到大氣中,而通過冷卻區加熱的廢氣經換熱設備加...
本裝置具有模塊式的結構設計特征,由反應裝置主體,輔助功能模塊及附屬機構構成,是一種主要應用于干法或半干法脫硫,脫硝處理系統,既能夠在處理系統中做為獨立的脫硫,脫硝過程反應裝置使用,也能夠代替系統的氣路輸送管道而做為管道反...
當本裝置做為獨立反應裝置或管道反應裝置應用于干法或半干法脫硫,脫硝處理系統時,污染煙氣經由反應裝置進氣端進入管道主體,一部分氣流在接觸旋葉表面時會受到旋葉約束作用影響從而改變該氣流的流動方向,這一部分變向氣流會繼續作用于...
金屬網過濾耦合電除塵器首先通過高壓靜電使粉塵荷電,荷電粉塵在電場力及金屬網陽極板過濾雙重作用下沉積至金屬網表面,然后通過振打方式使沉積在金屬網上的粉塵清除至灰斗中,從而達到除塵的目的.
不同的噴吹距離對濾袋壁面峰值壓力出現的位置幾乎沒有影響.在一定的試驗條件下,褶皺形狀對壁面峰值壓力影響不大.
在1:1物理模型試驗臺上進行褶皺濾袋的壁面峰值壓力測試.
除塵器運行問題主要表現為兩方面:(1)除塵器運行風阻較大,脈沖閥清灰效果不佳;(2)除塵器灰斗輸灰不暢,下灰口容易堵塞.
本節根據選取的電磁脈沖閥的故障特征的分布特點,驗證加權KNN算法識別電磁脈沖閥多種故障的有效性.
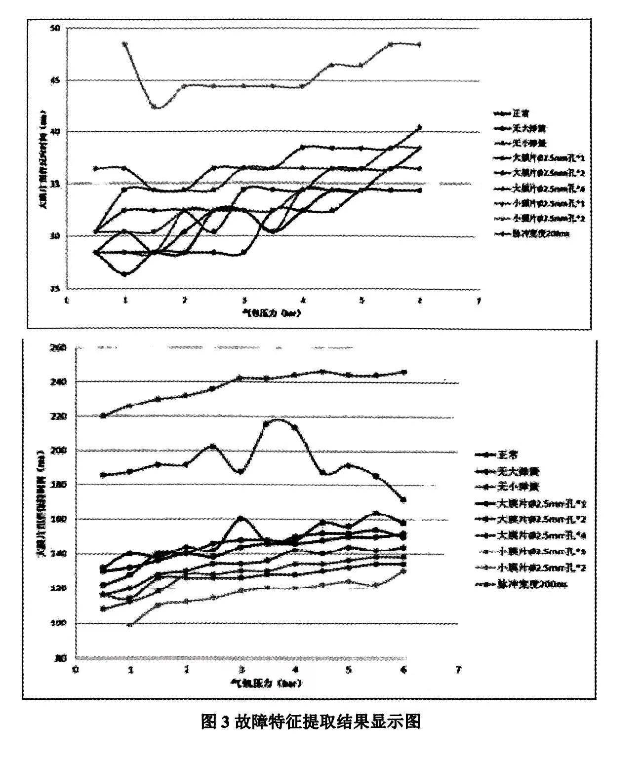
在確定了所要診斷的電磁脈沖閥故障類型和傳感器的選用方案之后,需要確定電磁脈沖閥的故障模擬實驗,本文采用移除大彈簧模擬大彈簧失效,移除小彈簧模擬小彈簧失效,大膜片沖不同數量的□2.5mm模擬大膜片破損,小膜片沖不同數量的□...
采用電開關來監測大膜片組件的運行狀態.電開關具有響應快,靈敏度高,能自復位等特點,并且能滿足耐壓,耐沖擊及防泄漏等電磁脈沖閥運行環境要求.
由于大膜片組件作為電磁脈沖閥的重要組件,所有由電磁脈沖閥故障引起的噴吹性能變化都與大膜片組件的動作相關聯,故可通過監測大膜片組件的運行狀態來監測電磁脈沖閥的噴吹性能變化,并能反應出其對應的故障類型,常見的故障類型有大彈簧...
袋式除塵器的過濾單元由濾袋,袋籠,花板和噴吹清灰裝置構成.用于固定濾袋,分隔塵氣室和凈氣室的花板既要承受系統負壓,又要承受濾袋組件,掛塵及袋籠的重量,如有變形可能影響濾袋的垂直度及袋口處的密封效果.濾袋頭內卡環與花板孔的...